激光剥蚀电感耦合等离子体质谱(LA-ICP-MS)分析中由于基体差异引起的微量元素分析结果明显偏离真实值(>±10% RSD),这一现象在氧化物矿物的分析中更为明显。最新研究表明,采用天然铬铁矿(UG1-W)基体匹配校准策略可近乎完全消除由非基体匹配标准物质引发的元素分馏,将分析相对偏差从±10%显著降低至近“0”水平。该研究为铬铁矿及其他难熔矿物的高精度微区元素地球化学分析提供了方法论基础和可靠的物质支撑。
在地球科学领域,LA-ICP-MS技术是微区原位分析不可或缺的工具。然而,该技术的分析可靠性严重依赖于参考物质与待测样品之间的物理化学性质匹配度。对于铬铁矿等难熔氧化物矿物,其与当前广泛应用的硅酸盐玻璃参考物质在化学组成、晶体结构及激光吸收等方面存在显著差异,导致分析过程中产生严重的基体依赖性元素分馏,制约了样品的高精度分析。
近日,中国科学院地球化学研究所戴智慧高级工程师团队在《Journal of Analytical Atomic Spectrometry》上发表了题为《LA-ICP-MS天然铬铁矿参考物质的开发与校准策略》的研究论文。该研究系统评估并证实了天然铬铁矿UG1-W作为标准物质的可行性,并明确指出:采用与样品基体匹配的天然铬铁矿进行校准,能将分析相对偏差提升至接近“0偏差”水平,为高精度铬铁矿微量元素分析提供新思路。
1、分析困境:当铬铁矿遇上玻璃标样
铬铁矿是探索地幔过程和成矿作用的关键矿物,但其稳定的物理化学性质是一把双刃剑——虽能完好保存原始地质信息,却也给分析带来了巨大挑战。研究团队系统对比了采用NIST SRM 61X系列、USGS及MPI-DING系列合成玻璃标样校准铬铁矿时的数据质量。通过计算元素灵敏度系数(ESR),发现基于玻璃标样的分析结果存在明显的基体效应,例如:
·Sc:熔融玻璃标样中Ca、Si等主量元素会形成多原子干扰(如²⁹Si¹⁶O、⁴³Ca¹⁶O),但铬铁矿中这些元素含量较低,导致标样与样品之间的干扰不一致,ESR_Al玻璃标样为2.37~2.72,而ESR_Al铬铁矿约为3(图1)。

图1. 多种玻璃标样(SRM 61X系列、MPI-DING及USGS)的归一化灵敏度系数
·Zn:由于其低熔点、高挥发性及高第一电离能等物理化学性质,在铬铁矿与玻璃标样中表现出截然不同的电离行为,元素分馏指数显著偏高,天然铬铁矿为1.18-1.23,玻璃标样为0.88-1.01(图2)。

图2. 玻璃标样与天然铬铁矿Zn的分馏指数
2. 破局之钥:均一、天然的UG1-W铬铁矿参考物质
研究团队系统性研究了采自南非布什维尔德杂岩体UG1层中的天然铬铁矿UG1-W,通过EPMA、ICP-MS、ICP-OES、TXRF等多种技术手段,证实UG1-W中主量、微量元素高度均一(图3),是潜在的“标准物质”。

图3. 天然铬铁矿UG1-W中元素的均一性指数
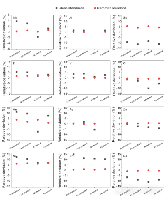
3. 关键发现:基体匹配的校正策略有效降低数据的相对偏差
通过多种校正策略的对比,研究团队发现:(1)使用玻璃标样校准时,多个元素的相对偏差~±5%,个别元素(Sc、Mn、Ni)大于±10%;(2)使用天然铬铁矿UG1-W校准时,大部分元素的分析相对偏差由~±5%降低至<±1%,Sc、Mn、Ni的相对偏差降低至~±5%(图4)。

图4. 采用玻璃标样和天然铬铁矿UG1-W分别对同一天然铬铁矿样品校正结果的相对偏差
上述研究证实,基体匹配校正策略是克服LA-ICP-MS分析中元素分馏效应、获得准确数据的根本途径,即使采用不同校正策略也能获得一致且准确的结果。标样与待测样品之间的基体匹配能够有效抑制因激光剥蚀、颗粒传输、以及等离子体电离效率差异引起的系统误差。
论文信息:Dan Chen, Zhi-Hui Dai*,Liemeng Chen, Zhenhui Hou, Dengfeng Liand Ting-guang Lan, Natural chromite as a reference material for LA-ICP-MS analyses: Development and calibration. Journal of Analytical Atomic Spectrometry, 2025. DOI: 10.1039/D5JA00299K
本研究开发的UG1-W参考物质(手标本为直径3 cm、高2 cm的圆柱体)现可供科研申请使用。该手标本样品充足,可以分发、满足多个实验室的分析需求。如有需要,敬请联系:daizhihui@mail.gyig.ac.cn。
附件:
